数市

 找回密码
 立即注册
查看: 1022|回复: 0

各省环境规制指数数据2

[复制链接]

128

主题

463

帖子

1919

积分

版主

Rank: 7Rank: 7Rank: 7

积分
1919
发表于 2025-12-24 10:42:15 | 显示全部楼层 |阅读模式
本帖最后由 中国资料 于 2025-12-24 10:59 编辑

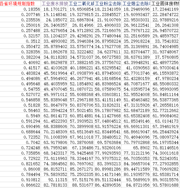
各省环境规制指数数据2

最新版数据已整理为Excel格式,数据的时间区间1990-2024年,内含“数据+计算方法+数据来源+参考文献”,欢迎下载!



环境规制强度借鉴赵细康(2003)、傅京燕(2010)中的指标体系建立一个基于各省实际污染产出的环境规制强度评价指标体系来计算。这套体系由一个目标层(ERS综合指数)、三个评价层(废水、废气和固体废物)和若干个单项指标层构成,指标体系直观和便于计算,需要的原始数据复杂程度较低。

在ERS综合评价指标体系建立之后,需要从单项指标层开始逐个计算指标,再层层上推,最终汇总成ERS综合评价指标。构建ERS综合评价指标的具体步骤如下:

1.计算各单项指标。其中,单项指标分别是工业废水排放达标率、工业二氧化硫去除率、工业粉尘去除率、工业烟尘去除率和工业固体废物综合利用率。
2.计算各单项指标的权重,反映不同省份不同年份对不同污染物的治理力度和规制程度。
3.将各单项指标加权平均,计算评价指标层下对应污染物的环境规制程度并汇总,得到最终的环境规制强度指标。

数据已进行标准化处理,各省之间的数据可比,也可考察数据的动态变化。

数据来源权威、可靠、详实,并由中国经济研究资料室精心整理。


各省环境规制指数1.png

各省环境规制指数2.png

回复

使用道具 举报

您需要登录后才可以回帖 登录 | 立即注册

本版积分规则

手机版|数市

Email:2791600291@qq.com

版权所有 © 数市 保留所有权利

京ICP备05065075号-1 京公网安备110402430047号

数市

版主QQ:2791600291

http://idata.work-专业数据市场

专注于分享新颖、独特和优质的数据

快速回复 返回顶部 返回列表